Новое в системе Wolfram Mathematica 8: Статистические визуализации  предыдущая  |  следующая 

Графика и визуализация

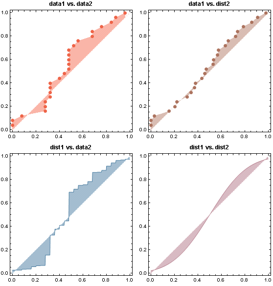
Сопоставление данных и распределений, используя график вероятность-вероятность 

Графики вероятность-вероятность используются для сопоставления данных с распределениями вероятностей, данных с данными, распределений с данными и распределений с распределениями по соответствующим значениям кумулятивной функции распределения.
In[1]:=
Click for copyable input
X
In[2]:=
Click for copyable input
X
Out[2]=