Новое в системе Wolfram Mathematica 9  предыдущая  |  следующая 
Новое в системе Wolfram Mathematica 9Расширенные гибридные и дифференциально-алгебраические уравнения

Модель сердца 

In[10]:=
Click for copyable input
X
In[11]:=
Click for copyable input
X
In[12]:=
Click for copyable input
X

Моделирование упрощённого серцебиения, используя четыре переменные для описания состояния. Модель и диаграммы взяты со следующей статьи:

M. E. Greene, J. W. Clark Jun., D. N. Mohr, и H. M. Bourland, "A Mathematical Model of Left-Ventricular Function," Medical and Biological Engineering, 11(2), 1973 ст. 126-134.

Левый желудочек - это камера сердца, получающая обогащённую кислородом кровь с левого предсердия через митральный клапан. Эта обогащённая кислородом кровь после этого перекачивается через аортальный клапан в аорту. В следующей модели левого желудочка, эти компоненты соответствуют давлению P_(AS) в предсердии, сопротивлению митрального клапана , давлению аортального клапана , сопротивлению аортального клапана и давлению у корня аорты P_A.

Переменные состояния в этой модели приведены в следующей таблице.

Out[43]=

Сердечный цикл (сердцебиение) состоит из четырёх фаз. Упрощение вышеописанной модели используется на каждой фазе, в зависимости от того, какой клапан является закрытым.

Out[44]=

В каждой фазе, в зависимости от того, какие клапаны являются закрытыми, используются различные вариации взятой модели.

Зададим уравнения для в каждой фазе сердечного цикла.

In[1]:=
Click for copyable input
X

Эластичность измеряет возможность растянутого объёма к упругому возврату без изменения давления. В этой модели эластичность левого желудочка имеет две фазы активную и пассивную. Пассивная фаза соответствует фазе наполнения. В течение активной фазы эластичность является функцией времени и конечного диастолического объёма . В пассивной фазе эластичность зависит только от объёма желудочка .

In[2]:=
Click for copyable input
X

Зададим начальные условия и различные параметры модели.

In[3]:=
Click for copyable input
X

Зададим параметры, подставляемые в модель на каждой фазе. В уравнениях эластичность обозначается общим параметром EV. Для фазы наполнения переменная EV заменяется на пассивную эластичность. Для всех остальных фаз используем активную эластичность.

In[4]:=
Click for copyable input
X

Подставляем эластичности и значения параметров в уравнения.

In[5]:=
Click for copyable input
X

Полученная система является кусочно-определённой на протяжении четырёх фаз.

In[6]:=
Click for copyable input
X

Вышеописанные переходы между четырьмя фазамы зависят от соотношений между давлением в аортном клапане , артериальном давлении и давлении в корне аорты .

In[7]:=
Click for copyable input
X
In[8]:=
Click for copyable input
X

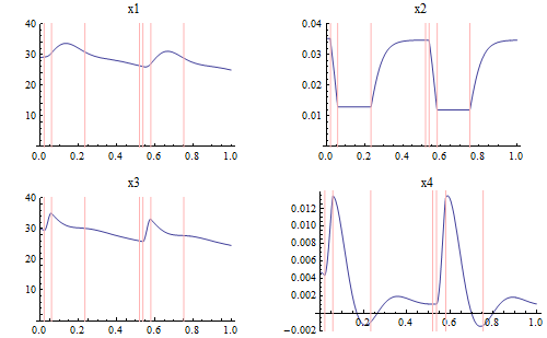
Проводим численное моделирование системы.

In[9]:=
Click for copyable input
X

Различные фазы разделены вертикальными линиями.

Out[12]=