Новое в системе Wolfram Mathematica 9  предыдущая  |  следующая 
Новое в системе Wolfram Mathematica 9Расширенные базовые алгоритмы

Быстрое нахождение определителя разрежённых символьных матриц 

In[1]:=
Click for copyable input
X

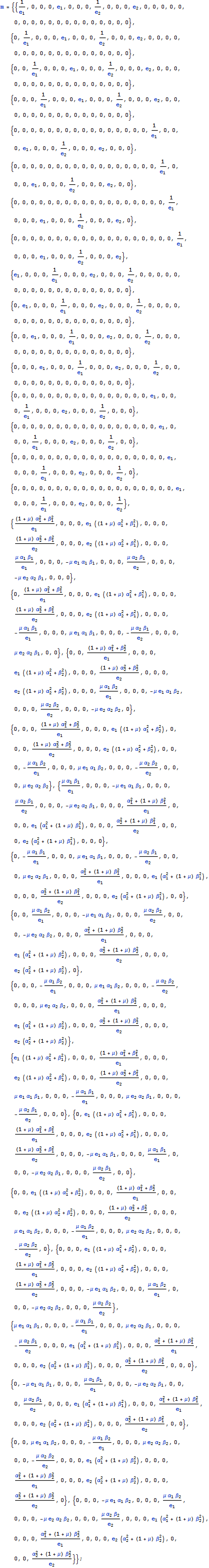
Зададим матрицу размерности 32×32 с символьными матричными элементами, присланную пользователем системы Mathematica. Нахождение определителя этой матрицы занимало более двух суток на компьютере с большим количеством оперативной памяти. Теперь, эта операция занимает не более 100 миллисекунд на обычном компьютере.

Матрица разрежённая, но имеет символьные матричные элементы.

In[2]:=
Click for copyable input
X
Out[2]=
In[3]:=
Click for copyable input
X
Out[3]//MatrixForm=

Вычисление определителя теперь происходит быстро.

In[4]:=
Click for copyable input
X
Out[4]=
In[5]:=
Click for copyable input
X
Out[5]=