« View all new features in
Mathematica
9
◄
previous
|
next
►
New in
Mathematica
9
›
Markov Chains and Queues
Structural Properties of Finite Markov Processes
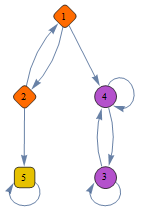
Find the communicating classes, highlighted in the graph through different colors.
In[1]:=
X
proc = DiscreteMarkovProcess[ 1, {{0, 1/3, 0, 2/3, 0}, {1/2, 0, 0, 0, 1/2}, {0, 0, 1/2, 1/2, 0}, {0, 0, 1/2, 1/2, 0}, {0, 0, 0, 0, 1}}];
In[2]:=
X
gr = Graph[proc, GraphLayout -> "LayeredDrawing"]
Out[2]=
In[3]:=
X
MarkovProcessProperties[proc, "CommunicatingClasses"]
Out[3]=
Check for irreducibility, which means there is only one communicating class.
In[4]:=
X
MarkovProcessProperties[proc, "Irreducible"]
Out[4]=
Find the recurrent classes, which are classes that cannot be exited.
In[5]:=
X
MarkovProcessProperties[proc, "RecurrentClasses"]
Out[5]=
Find the transient classes, which are classes that can be exited.
In[6]:=
X
MarkovProcessProperties[proc, "TransientClasses"]
Out[6]=
Find the absorbing classes, which are recurrent classes with a single state.
In[7]:=
X
MarkovProcessProperties[proc, "AbsorbingClasses"]
Out[7]=