Новое в системе Wolfram
Mathematica
9
◄
предыдущая
|
следующая
►
Новое в системе Wolfram
Mathematica
9
›
Цепи Маркова и теория массового обслуживания
Структурные свойства конечных цепей Маркова
Нахождение смежных классов, выделенных на графе различными цветами.
In[1]:=
X
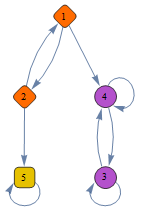
proc = DiscreteMarkovProcess[ 1, {{0, 1/3, 0, 2/3, 0}, {1/2, 0, 0, 0, 1/2}, {0, 0, 1/2, 1/2, 0}, {0, 0, 1/2, 1/2, 0}, {0, 0, 0, 0, 1}}];
In[2]:=
X
gr = Graph[proc, GraphLayout -> "LayeredDrawing"]
Out[2]=
In[3]:=
X
MarkovProcessProperties[proc, "CommunicatingClasses"]
Out[3]=
Проверка неприводимости цепи, то есть наличие только одного смежного класса.
In[4]:=
X
MarkovProcessProperties[proc, "Irreducible"]
Out[4]=
Нахождение рекуррентных классов, то есть классов состояний, которые нельзя покинуть.
In[5]:=
X
MarkovProcessProperties[proc, "RecurrentClasses"]
Out[5]=
Нахождение переходных классов, то есть классов состояний, которые можно покинуть.
In[6]:=
X
MarkovProcessProperties[proc, "TransientClasses"]
Out[6]=
Нахождение абсорбирующих классов, то есть классов состояний, являющихся рекуррентными и состоящими из одного состояния.
In[7]:=
X
MarkovProcessProperties[proc, "AbsorbingClasses"]
Out[7]=