« View all new features in Mathematica 9  previous  |  next 
New in Mathematica 9Random Processes

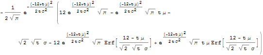
Expected Profit from an Option 

Assume to be the price of a financial asset at time and assume it follows a WienerProcess. The value of a simple option is the amount it exceeds 12 at time . Find the expected value of the option.

In[1]:=
Click for copyable input
X
In[2]:=
Click for copyable input
X
Out[2]=

Plot the value for and different assumptions on maturity time and volatility .

In[3]:=
Click for copyable input
X
Out[3]=