| New in Wolfram Mathematica 6: Automated Table Layout | ◄ previous | next ► |
Automatically Allocate Space and Wrap Lines
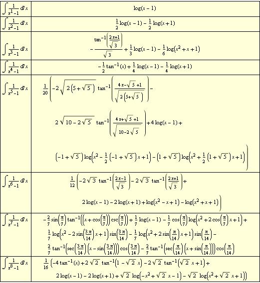
Mathematica 6's table layout system can automatically allocate space on a page, wrapping lines in a table when necessary.
In[1]:= | Text[Grid[
Table[With[{n = n},
With[{u = HoldForm[\[Integral]1/(x^n - 1) \[DifferentialD]x]},
TraditionalForm /@ {u, ReleaseHold[u]}]], {n, 8}], Frame -> All,
ItemSize -> Automatic, Background -> LightYellow]] |
Out[1]= ![]() | ![]() |



