New in Wolfram Mathematica 7: Differential & Difference Roots  previous | next 
Compute Closed-Form Series Coefficients
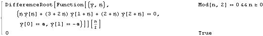
All series coefficients for holonomic functions can be expressed as DifferenceRoot objects.
In[1]:=

Click for copyable input
SeriesCoefficient[Exp[1/(x^2 + 1)], {x, 0, n}]
Out[1]=



In[2]:=

Click for copyable input
SeriesCoefficient[Exp[1/(x^2 + 1)], {x, 0, n}];

DiscretePlot[%, {n, 50}, PlotRange -> All]
Out[2]=