New in Wolfram Mathematica 7: Discrete Calculus  previous | next 
Generate a Gallery of Indefinite Sums
Generate a variety of indefinite sums.
In[1]:=

Click for copyable input
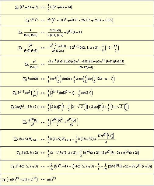
problems = {HoldForm[

\!\(\*UnderscriptBox["\[Sum]", "k"]\)(k^2 + 5 k + 7)], HoldForm[

\!\(\*UnderscriptBox["\[Sum]", "k"]\)2^k k^5], HoldForm[

\!\(\*UnderscriptBox["\[Sum]", "k"]\)k/((k + 1) (k + 3))], HoldForm[

\!\(\*UnderscriptBox["\[Sum]", "k"]\)2^k/((k + 1) (k + 3))], HoldForm[

\!\(\*UnderscriptBox["\[Sum]", "k"]\)(11^k) / (k + 3)!], HoldForm[

\!\(\*UnderscriptBox["\[Sum]", "k"]\)k Sin[k]], HoldForm[

\!\(\*UnderscriptBox["\[Sum]", "k"]\)3^(k - 1) Sin[x/3^k]^3], HoldForm[

\!\(\*UnderscriptBox["\[Sum]", "k"]\)Log[k^2 + 3 k + 1]], HoldForm[

\!\(\*UnderscriptBox["\[Sum]", "k"]\)PolyGamma[2, k]/k^3], HoldForm[

\!\(\*UnderscriptBox["\[Sum]", "k"]\)(k + 5) HarmonicNumber[2 k + 1]],

    HoldForm[

\!\(\*UnderscriptBox["\[Sum]", "k"]\)k Zeta[3, k + 2]], HoldForm[

\!\(\*UnderscriptBox["\[Sum]", "k"]\)k^2 LerchPhi[5, 2, k + 3]], 

   HoldForm[

\!\(\*UnderscriptBox["\[Sum]", "k"]\)(-u[k]^13 + u[k + 1]^13)]};
In[2]:=

Click for copyable input
FormulaGallery[forms_List] := 

 Module[{vals = ParallelMap[ReleaseHold, forms]}, 

  Text@TraditionalForm@

    Grid[Table[{forms[[i]], "==", vals[[i]]}, {i, Length[forms]}], 

     Dividers -> {{True, False, False, True}, All}, 

     Alignment -> {{Right, Center, Left}, Baseline}, 

     Background -> LightYellow, Spacings -> {Automatic, 2}]]
In[3]:=

Click for copyable input
FormulaGallery[problems]
Out[3]=