New in Wolfram Mathematica 7: Enhanced Fourier Analysis  previous | next 
Compute a 2D Discrete-Time Fourier Transform
Compute a 2D discrete-time Fourier transform and visualize the spectra overlaying the phase color.
In[1]:=

Click for copyable input
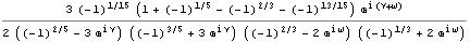
F = FourierSequenceTransform[

  Sin[n 2 Pi/3] (1/2)^n Sin[m 2 Pi/5] (1/3)^m UnitStep[n, m], {n, 

   m}, {\[Omega], \[Nu]}]
Out[1]=



In[2]:=

Click for copyable input
Plot3D[Abs[F]^2, {\[Omega], 0, 2 \[Pi]}, {\[Nu], 0, 2 \[Pi]}, 

  Ticks -> {{0, \[Pi], 2 \[Pi]}, {0, \[Pi], 2 \[Pi]}, Automatic}, 

  Mesh -> None, PlotPoints -> 60, 

  ColorFunction -> 

   Function[{\[Omega], \[Nu]}, 

    Evaluate@Lighter[Hue[Arg[F]/(2 Pi) + 1/2], 0.4]], 

  ColorFunctionScaling -> False, Filling -> Axis] // Quiet
Out[2]=