New in Wolfram Mathematica 7: New Number Theory Capabilities  previous | next 
Find Closed Forms for Number Theoretic Sums and Products
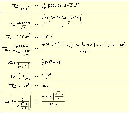
A sampling of sums and products.
In[1]:=

Click for copyable input
problems = {HoldForm[\!\(

\*UnderoverscriptBox[\(\[Sum]\), \(k = 0\), \(\[Infinity]\)]

\*FractionBox[\(1\), 

SuperscriptBox[\((3\ k + 1)\), \(3\)]]\)], HoldForm[\!\(

\*UnderoverscriptBox[\(\[Sum]\), \(k = 0\), \(\[Infinity]\)]

\*FractionBox[\(Sin[2\ \[Pi]\ k\ x]\), 

SqrtBox[\(k\)]]\)], HoldForm[\!\(

\*UnderoverscriptBox[\(\[Sum]\), \(k = \(-\[Infinity]\)\), \(\

\[Infinity]\)]\(

\*SuperscriptBox[\((\(-1\))\), \(k\)]\ 

\*SuperscriptBox[\(q\), 

SuperscriptBox[\(k\), \(2\)]]\)\)], HoldForm[\!\(

\*UnderoverscriptBox[\(\[Sum]\), \(m = 1\), \(\[Infinity]\)]

\*FractionBox[

SuperscriptBox[\((2\ x)\), \(2\ m + 2\ k\)], \(

\*SuperscriptBox[\(m\), \(2\)]\ \((m + k)\)\ Binomial[2\ m, m]\)]\)],

   HoldForm[\!\(

\*UnderoverscriptBox[\(\[Sum]\), \(k = 1\), \(\[Infinity]\)]

\*FractionBox[\(1\), \(Floor[k/5 + Sqrt[7]]^2\)]\)], HoldForm[\!\(

\*UnderoverscriptBox[\(\[Product]\), \(k = 1\), \(\[Infinity]\)]\((1 + 

\*FractionBox[\(1\), 

SuperscriptBox[\(k\), \(2\)]])\)\)], HoldForm[\!\(

\*UnderoverscriptBox[\(\[Product]\), \(k = 

       0\), \(\[Infinity]\)]\((1 - a\ 

\*SuperscriptBox[\(q\), \(k\)])\)\)], 

   HoldForm[

    Product[1 + 1/(k  Floor[(k^2 + 4)/(k + 1)]), {k, 

      1, \[Infinity]}]]};
In[2]:=

Click for copyable input
FormulaGallery[forms_List] := 

  Module[{vals = ParallelMap[ReleaseHold, forms]}, 

   Text@TraditionalForm@

     Grid[Table[{forms[[i]], "==", vals[[i]]}, {i, Length[forms]}], 

      Dividers -> {{True, False, False, True}, All}, 

      Alignment -> {{Right, Center, Left}, Baseline}, 

      Background -> LightYellow, Spacings -> {1, 1}]];
In[3]:=

Click for copyable input
FormulaGallery[problems]
Out[3]=