Новое в системе Wolfram Mathematica 9  предыдущая  |  следующая 
Новое в системе Wolfram Mathematica 9Расширенные гибридные и дифференциально-алгебраические уравнения

Гидравлические системы 

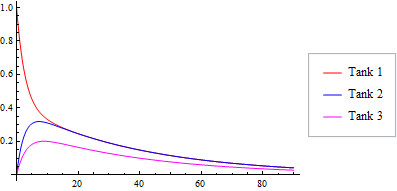
Моделирование изменения уровня воды в трёх ёмкостях в случае, когда в третьей ёмкости имеется течь.

Click for copyable input
X

Давление на дне ёмкостей 1, 2 и 3 обозначены символами , и соответственно. Труба, выходящая из ёмкости 1, разветвляется, ведя к ёмкостям 2 и 3. Давление в месте раздвоения трубы обозначим . Скорость потока жидкости зависит от разности давлений и от геометрии соединительных труб.

In[1]:=
Click for copyable input
X

Вся жидкость, вытекающая с ёмкости 1, должна оказаться в ёмкости 2 или ёмкости 3. Это условие выражается в виде алгебраической связи. Высота жидкости в ёмкостях связана с давлением на дне ёмкости законом Торичелли.

In[2]:=
Click for copyable input
X

Скорость, с которой жидкость вытекает из или втекает в ёмкость (т.е. скорость течения), является прямо пропорциональной скорости изменения уровня воды в ёмкости. Это соотношение следует из закона сохранения массы в несжимаемой жидкости.

In[3]:=
Click for copyable input
X

Зададим размеры и параметры модели. Площади поперечного сечения ёмкостей 1, 2 и 3 обозначены , и соответственно. Плотность и вязкость жидкости обозначены через (kg/m3) и (kg/m-s) соответственно.

In[4]:=
Click for copyable input
X

Зададим начальные уровни жидкости в каждой ёмкости.

In[5]:=
Click for copyable input
X

Решим уравнения и визуализируем решение.

In[6]:=
Click for copyable input
X
In[7]:=
Click for copyable input
X
Out[7]=