New in Wolfram Mathematica 7: Differential & Difference Roots  previous | next 
Find Difference Equations from Sequence Specifications
Find difference equations for combinations of special sequences.
In[1]:=

Click for copyable input
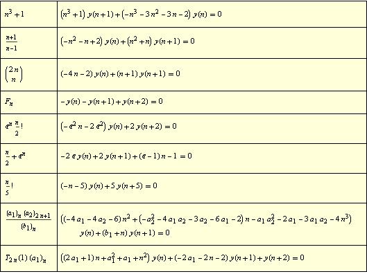
problems = {n^3 + 1, (n + 1)/(n - 1), Binomial[2 n, n], 

   Fibonacci[n], (n/2)! Exp[n], (n/2) + Exp[n], (n/5)!, (

   Pochhammer[Subscript[a, 1], n] Pochhammer[Subscript[a, 2], 

     2 n + 1])/Pochhammer[Subscript[b, 1], n], 

   ChebyshevT[2 n, 1] Pochhammer[Subscript[a, 1], n]};
In[2]:=

Click for copyable input
FormulaGallery[forms_List] := 

 Module[{vals = ParallelMap[DifferenceRootReduce[#, n] &, forms]}, 

  Text@TraditionalForm@

    Grid[Table[{forms[[i]], First@vals[[i]][[0, 1]][y, n]}, {i, 

       Length[forms]}], Dividers -> All, 

     Alignment -> {Left, Baseline}, Background -> LightYellow, 

     Spacings -> {1, 2}]]
In[3]:=

Click for copyable input
FormulaGallery[problems]
Out[3]=