New in Wolfram Mathematica 7: Differential & Difference Roots  previous | next 
Find Differential Equations for Special Function Expressions
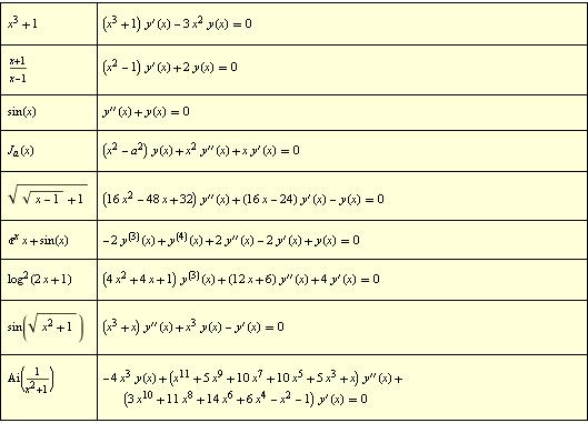
Find differential equations for combinations of special functions.
In[1]:=

Click for copyable input
problems = {x^3 + 1, (x + 1)/(x - 1), Sin[x], BesselJ[a, x], Sqrt[

   1 + Sqrt[x - 1]], x  Exp[x] + Sin[x] , Log[2 x + 1]^2 , 

   Sin[Sqrt[x^2 + 1]], AiryAi[1/(x^2 + 1)]};
In[2]:=

Click for copyable input
FormulaGallery[forms_List] := 

 Module[{vals = ParallelMap[DifferentialRootReduce[#, x] &, forms]}, 

  Text@TraditionalForm@

    Grid[Table[{forms[[i]], First[vals[[i]][[0, 1]][y, x]]}, {i, 

       Length[forms]}], Dividers -> All, 

     Alignment -> {Left, Baseline}, Background -> LightYellow, 

     Spacings -> {1, 2}]]
In[3]:=

Click for copyable input
FormulaGallery[problems]
Out[3]=