New in Wolfram Mathematica 7: Discrete Calculus  previous | next 
Compute Symbolic Differences
Compute symbolic differences of sequences.
In[1]:=

Click for copyable input
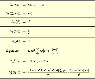
problems = {HoldForm[\!\(

\*SubscriptBox[\(\[DifferenceDelta]\), \(k\)]\(f[k]\)\)], HoldForm[\!\(

\*SubscriptBox[\(\[DifferenceDelta]\), \(k\)]\(

\*SubscriptBox[\(\[Sum]\), \(k\)]f[k]\)\)], HoldForm[\!\(

\*SubscriptBox[\(\[DifferenceDelta]\), \(k\)]

\*SuperscriptBox[\(2\), \(k\)]\)], HoldForm[\!\(

\*SubscriptBox[\(\[DifferenceDelta]\), \(k\)]\(PolyGamma[k]\)\)], 

   HoldForm[\!\(

\*SubscriptBox[\(\[DifferenceDelta]\), \(k\)]\(k!\)\)], HoldForm[\!\(

\*SubscriptBox[\(\[DifferenceDelta]\), \({k, 5}\)]\(Sin[a\ k]\)\)], 

   HoldForm[\!\(

\*SubscriptBox[\(\[DifferenceDelta]\), \({k, 13}\)]\(Fibonacci[

      k]\)\)], HoldForm[\!\(

\*SubscriptBox[\(\[DifferenceDelta]\), \({k, 3}\)]\(BesselJ[k, 

      x]\)\)]};
In[2]:=

Click for copyable input
FormulaGallery[forms_List] := 

 Module[{vals = ParallelMap[ReleaseHold, forms]}, 

  Text@TraditionalForm@

    Grid[Table[{forms[[i]], "==", vals[[i]]}, {i, Length[forms]}], 

     Dividers -> {{True, False, False, True}, All}, 

     Alignment -> {{Right, Center, Left}, Baseline}, 

     Background -> LightYellow, Spacings -> {{4, {}, 4}, 2}]]
In[3]:=

Click for copyable input
FormulaGallery[problems]
Out[3]=