New in Wolfram Mathematica 7: Discrete Calculus  previous | next 
Sample Symbolic Discrete Ratios
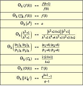
Sample some formulas for symbolic discrete ratios.
In[1]:=

Click for copyable input
problems = {HoldForm[\!\(

\*SubscriptBox[\(\[DiscreteRatio]\), \(k\)]\(f[k]\)\)], HoldForm[\!\(

\*SubscriptBox[\(\[DiscreteRatio]\), \(k\)]\(

\*SubscriptBox[\(\[Product]\), \(k\)]f[k]\)\)], HoldForm[\!\(

\*SubscriptBox[\(\[DiscreteRatio]\), \(k\)]

\*SuperscriptBox[\(a\), \(k\)]\)], HoldForm[\!\(

\*SubscriptBox[\(\[DiscreteRatio]\), \(k\)]\((

\*FractionBox[\(

\*SuperscriptBox[\(k\), \(2\)] + 1\), \(k^3 + 1\)])\)\)], HoldForm[\!\(

\*SubscriptBox[\(\[DiscreteRatio]\), \(k\)]\((

\*FractionBox[\(Pochhammer[

\*SubscriptBox[\(a\), \(1\)], k] Pochhammer[

\*SubscriptBox[\(a\), \(2\)], k]\), \(Pochhammer[

\*SubscriptBox[\(b\), \(1\)], k] Pochhammer[

\*SubscriptBox[\(b\), \(2\)], k]\)])\)\)], HoldForm[\!\(

\*SubscriptBox[\(\[DiscreteRatio]\), \(k\)]\(CatalanNumber[k]\)\)], 

   HoldForm[\!\(

\*SubscriptBox[\(\[DiscreteRatio]\), \(k\)]\(BarnesG[k]\)\)], 

   HoldForm[\!\(

\*SubscriptBox[\(\[DiscreteRatio]\), \(k\)]\(QFactorial[k, q]\)\)]};
In[2]:=

Click for copyable input
FormulaGallery[forms_List] := 

 Module[{vals = ParallelMap[ReleaseHold, forms]}, 

  Text@TraditionalForm@

    Grid[Table[{forms[[i]], "==", vals[[i]]}, {i, Length[forms]}], 

     Dividers -> {{True, False, False, True}, All}, 

     Alignment -> {{Right, Center, Left}, Baseline}, 

     Background -> LightYellow, Spacings -> {{4, {}, 4}, 1}]]
In[3]:=

Click for copyable input
FormulaGallery[problems]
Out[3]=