New in Wolfram Mathematica 7: Discrete Calculus  previous | next 
Explore Multivariate Sums
Explore definite multivariate sums.
In[1]:=

Click for copyable input
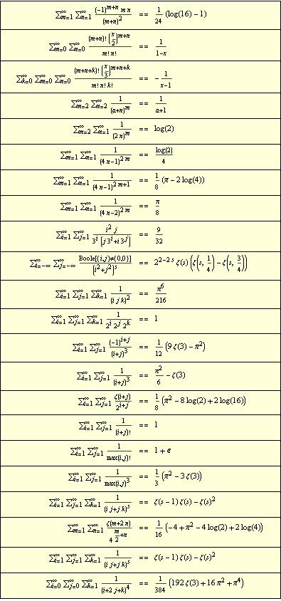
problems = {HoldForm[\!\(

\*UnderoverscriptBox[\(\[Sum]\), \(m = 1\), \(\[Infinity]\)]\ \(

\*UnderoverscriptBox[\(\[Sum]\), \(n = 1\), \(\[Infinity]\)]

FractionBox[

SuperscriptBox[\((\(-1\))\), \(m + n\)], 

SuperscriptBox[\((m + n)\), \(2\)]] m\ n\)\)], HoldForm[\!\(

\*UnderoverscriptBox[\(\[Sum]\), \(m = 0\), \(\[Infinity]\)]\ \(

\*UnderoverscriptBox[\(\[Sum]\), \(n = 0\), \(\[Infinity]\)]\ \ 

FractionBox[\(\((m + n)\)!\), \(\((\(m!\))\)\ \((\(n!\))\)\)] 

\*SuperscriptBox[\((

\*FractionBox[\(x\), \(2\)])\), \(m + n\)]\)\)], HoldForm[\!\(

\*UnderoverscriptBox[\(\[Sum]\), \(k = 0\), \(\[Infinity]\)]\(

\*UnderoverscriptBox[\(\[Sum]\), \(m = 0\), \(\[Infinity]\)]\ \(

\*UnderoverscriptBox[\(\[Sum]\), \(n = 0\), \(\[Infinity]\)]

FractionBox[\(\((m + n + 

            k)\)!\), \(\((\(m!\))\) \((\(n!\))\) \((\(k!\))\)\)] 

\*SuperscriptBox[\((

\*FractionBox[\(x\), \(3\)])\), \(m + n + k\)]\)\)\)], HoldForm[\!\(

\*UnderoverscriptBox[\(\[Sum]\), \(m = 2\), \(\[Infinity]\)]\ \(

\*UnderoverscriptBox[\(\[Sum]\), \(n = 2\), \(\[Infinity]\)]

\*FractionBox[\(1\), 

SuperscriptBox[\((a + n)\), \(m\)]]\)\)], HoldForm[\!\(

\*UnderoverscriptBox[\(\[Sum]\), \(m = 2\), \(\[Infinity]\)]\ \(

\*UnderoverscriptBox[\(\[Sum]\), \(n = 1\), \(\[Infinity]\)]

\*FractionBox[\(1\), 

SuperscriptBox[\((2  n)\), \(m\)]]\)\)], HoldForm[\!\(

\*UnderoverscriptBox[\(\[Sum]\), \(m = 1\), \(\[Infinity]\)]\ \(

\*UnderoverscriptBox[\(\[Sum]\), \(n = 1\), \(\[Infinity]\)]

\*FractionBox[\(1\), 

SuperscriptBox[\((4  n - 1)\), \(2  m\)]]\)\)], HoldForm[\!\(

\*UnderoverscriptBox[\(\[Sum]\), \(m = 1\), \(\[Infinity]\)]\ \(

\*UnderoverscriptBox[\(\[Sum]\), \(n = 1\), \(\[Infinity]\)]

\*FractionBox[\(1\), 

SuperscriptBox[\((4  n - 1)\), \(2  m + 1\)]]\)\)], HoldForm[\!\(

\*UnderoverscriptBox[\(\[Sum]\), \(m = 1\), \(\[Infinity]\)]\ \(

\*UnderoverscriptBox[\(\[Sum]\), \(n = 1\), \(\[Infinity]\)]

\*FractionBox[\(1\), 

SuperscriptBox[\((4  n - 2)\), \(2  m\)]]\)\)], HoldForm[\!\(

\*UnderoverscriptBox[\(\[Sum]\), \(i = 1\), \(\[Infinity]\)]\(

\*UnderoverscriptBox[\(\[Sum]\), \(j = 1\), \(\[Infinity]\)]

\*FractionBox[\(

SuperscriptBox[\(i\), \(2\)] j\), \(

SuperscriptBox[\(3\), \(i\)] \((j\ 

\*SuperscriptBox[\(3\), \(i\)] + \ i\ 

\*SuperscriptBox[\(3\), \(j\)])\)\)]\)\)], HoldForm[\!\(

\*UnderoverscriptBox[\(\[Sum]\), \(i = \(-\[Infinity]\)\), \(\

\[Infinity]\)]\(

\*UnderoverscriptBox[\(\[Sum]\), \(j = \(-\[Infinity]\)\), \(\

\[Infinity]\)]

FractionBox[\(1\), 

SuperscriptBox[\((

\*SuperscriptBox[\(i\), \(2\)] + 

\*SuperscriptBox[\(j\), \(2\)])\), \(s\)]] Boole[{i, j} != {0, 

          0}]\)\)], HoldForm[\!\(

\*UnderoverscriptBox[\(\[Sum]\), \(i = 1\), \(\[Infinity]\)]\(

\*UnderoverscriptBox[\(\[Sum]\), \(j = 1\), \(\[Infinity]\)]\(

\*UnderoverscriptBox[\(\[Sum]\), \(k = 1\), \(\[Infinity]\)]

\*FractionBox[\(1\), 

SuperscriptBox[\((i\ j\ k)\), \(2\)]]\)\)\)], HoldForm[\!\(

\*UnderoverscriptBox[\(\[Sum]\), \(i = 1\), \(\[Infinity]\)]\(

\*UnderoverscriptBox[\(\[Sum]\), \(j = 1\), \(\[Infinity]\)]\(

\*UnderoverscriptBox[\(\[Sum]\), \(k = 1\), \(\[Infinity]\)]

\*FractionBox[\(1\), \(

SuperscriptBox[\(2\), \(i\)] 

SuperscriptBox[\(2\), \(j\)] 

\*SuperscriptBox[\(2\), \(k\)]\)]\)\)\)], HoldForm[\!\(

\*UnderoverscriptBox[\(\[Sum]\), \(i = 1\), \(\[Infinity]\)]\(

\*UnderoverscriptBox[\(\[Sum]\), \(j = 1\), \(\[Infinity]\)]

\*FractionBox[

SuperscriptBox[\((\(-1\))\), \(i + j\)], 

SuperscriptBox[\((i + j)\), \(3\)]]\)\)], HoldForm[\!\(

\*UnderoverscriptBox[\(\[Sum]\), \(i = 1\), \(\[Infinity]\)]\(

\*UnderoverscriptBox[\(\[Sum]\), \(j = 1\), \(\[Infinity]\)]

\*FractionBox[\(1\), 

SuperscriptBox[\((i + j)\), \(3\)]]\)\)], HoldForm[\!\(

\*UnderoverscriptBox[\(\[Sum]\), \(i = 1\), \(\[Infinity]\)]\(

\*UnderoverscriptBox[\(\[Sum]\), \(j = 1\), \(\[Infinity]\)]

\*FractionBox[\(\(\ \)\(Zeta[\ i + j]\)\), 

SuperscriptBox[\(2\), \(i + j\)]]\)\)], HoldForm[\!\(

\*UnderoverscriptBox[\(\[Sum]\), \(i = 1\), \(\[Infinity]\)]\(

\*UnderoverscriptBox[\(\[Sum]\), \(j = 1\), \(\[Infinity]\)]

\*FractionBox[\(1\), \(\((i + j)\)!\)]\)\)], HoldForm[\!\(

\*UnderoverscriptBox[\(\[Sum]\), \(i = 1\), \(\[Infinity]\)]\(

\*UnderoverscriptBox[\(\[Sum]\), \(j = 1\), \(\[Infinity]\)]

\*FractionBox[\(1\), \(Max[i, j]!\)]\)\)], HoldForm[\!\(

\*UnderoverscriptBox[\(\[Sum]\), \(i = 1\), \(\[Infinity]\)]\(

\*UnderoverscriptBox[\(\[Sum]\), \(j = 1\), \(\[Infinity]\)]

\*FractionBox[\(1\), 

SuperscriptBox[\(Max[i, j]\), \(3\)]]\)\)], HoldForm[\!\(

\*UnderoverscriptBox[\(\[Sum]\), \(i = 1\), \(\[Infinity]\)]\(

\*UnderoverscriptBox[\(\[Sum]\), \(j = 1\), \(\[Infinity]\)]\(

\*UnderoverscriptBox[\(\[Sum]\), \(k = 1\), \(\[Infinity]\)]

\*FractionBox[\(1\), 

SuperscriptBox[\((i\ j + j\ k)\), \(s\)]]\)\)\)], HoldForm[\!\(

\*UnderoverscriptBox[\(\[Sum]\), \(m = 1\), \(\[Infinity]\)]\ \(

\*UnderoverscriptBox[\(\[Sum]\), \(n = 1\), \(\[Infinity]\)]

\*FractionBox[\(Zeta[m + 2  n]\), 

SuperscriptBox[\(4\), \(

FractionBox[\(1\), \(2\)] m + n\)]]\)\)], HoldForm[\!\(

\*UnderoverscriptBox[\(\[Sum]\), \(i = 1\), \(\[Infinity]\)]\(

\*UnderoverscriptBox[\(\[Sum]\), \(j = 1\), \(\[Infinity]\)]\(

\*UnderoverscriptBox[\(\[Sum]\), \(k = 1\), \(\[Infinity]\)]

\*FractionBox[\(1\), 

SuperscriptBox[\((i*j + j*k)\), \(s\)]]\)\)\)], HoldForm[\!\(

\*UnderoverscriptBox[\(\[Sum]\), \(i = 0\), \(\[Infinity]\)]\(

\*UnderoverscriptBox[\(\[Sum]\), \(j = 0\), \(\[Infinity]\)]\(

\*UnderoverscriptBox[\(\[Sum]\), \(k = 1\), \(\[Infinity]\)]

\*FractionBox[\(1\), 

SuperscriptBox[\((i + 2  j + k)\), \(4\)]]\)\)\)]};
In[2]:=

Click for copyable input
FormulaGallery[forms_List] := 

 Module[{vals = ParallelMap[ReleaseHold, forms]}, 

  Text@TraditionalForm@

    Grid[Table[{forms[[i]], "==", vals[[i]]}, {i, Length[forms]}], 

     Dividers -> {{True, False, False, True}, All}, 

     Alignment -> {{Right, Center, Left}, Baseline}, 

     Background -> LightYellow, Spacings -> {{4, {}, 4}, 1}]]
In[3]:=

Click for copyable input
FormulaGallery[problems]
Out[3]=