New in Wolfram Mathematica 7: Discrete Calculus  previous | next 
Sample Indefinite and Definite Products
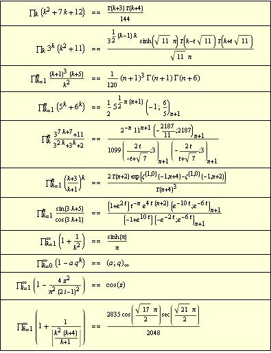
Sample indefinite and definite products.
In[1]:=

Click for copyable input
products = {HoldForm[

\!\(\*UnderscriptBox["\[Product]", "k"]\)(k^2 + 7 k + 12)], HoldForm[

\!\(\*UnderscriptBox["\[Product]", "k"]\)3^k (k^2 + 11)], HoldForm[\!\(

\*UnderoverscriptBox[\(\[Product]\), \(k = 1\), \(n\)]

\*FractionBox[\(

\*SuperscriptBox[\((k + 1)\), \(3\)]\ \((k + 5)\)\), 

SuperscriptBox[\(k\), \(2\)]]\)], HoldForm[\!\(

\*UnderoverscriptBox[\(\[Product]\), \(k = 1\), \(n\)]\((

\*SuperscriptBox[\(5\), \(k\)] + 

\*SuperscriptBox[\(6\), \(k\)])\)\)], HoldForm[\!\(

\*UnderoverscriptBox[\(\[Product]\), \(k\), \(n\)]

\*FractionBox[\(\((

\*SuperscriptBox[\(3\), \(7\ k + 7\)] + 11)\)\(\ \)\), \(\(\ \)\((

\*SuperscriptBox[\(3\), \(2\ k\)] + 

\*SuperscriptBox[\(3\), \(k\)] + 2)\)\)]\)], HoldForm[\!\(

\*UnderoverscriptBox[\(\[Product]\), \(k = 1\), \(n\)]

\*SuperscriptBox[\((

\*FractionBox[\(k + 3\), \(k + 1\)])\), \(k\)]\)], HoldForm[\!\(

\*UnderoverscriptBox[\(\[Product]\), \(k = 1\), \(n\)]

\*FractionBox[\(Sin[3\ k + 5]\), \(Cos[3\ k + 1]\)]\)], HoldForm[\!\(

\*UnderoverscriptBox[\(\[Product]\), \(k = 1\), \(\[Infinity]\)]\((1 + 

\*FractionBox[\(1\), 

SuperscriptBox[\(k\), \(2\)]])\)\)], HoldForm[\!\(

\*UnderoverscriptBox[\(\[Product]\), \(k = 

       0\), \(\[Infinity]\)]\((1 - a\ 

\*SuperscriptBox[\(q\), \(k\)])\)\)], HoldForm[\!\(

\*UnderoverscriptBox[\(\[Product]\), \(i = 1\), \(\[Infinity]\)]\((1 - 

\*FractionBox[\(4\ 

\*SuperscriptBox[\(z\), \(2\)]\), \(

\*SuperscriptBox[\(\[Pi]\), \(2\)]\ 

\*SuperscriptBox[\((2\ i - 1)\), \(2\)]\)])\)\)], 

   HoldForm[

    Product[1 + 1/Floor[k^2 (k + 4)/(k + 1)], {k, 1, \[Infinity]}]]};
In[2]:=

Click for copyable input
FormulaGallery[forms_List] := 

 Module[{vals = ParallelMap[ReleaseHold, forms]}, 

  Text@TraditionalForm@

    Grid[Table[{forms[[i]], "==", vals[[i]]}, {i, Length[forms]}], 

     Dividers -> {{True, False, False, True}, All}, 

     Alignment -> {{Right, Center, Left}, Baseline}, 

     Background -> LightYellow, Spacings -> {{4, {}, 4}, 1}]]
In[3]:=

Click for copyable input
FormulaGallery[products]
Out[3]=