分子の接続性グラフを接合する
ChemicalData等の精選されたデータ集からの,すぐに使えるグラフやネットワーク.
カフェインの基本構造.
In[1]:=

ChemicalData["Caffeine", "StructureGraph"]
Out[1]=

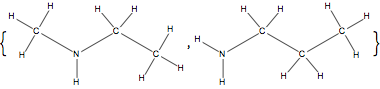
2つの酸性分子の構造を示す.
In[2]:=

ChemicalData[#, "StructureGraph"] & /@ {"NEthylmethylamine",
"Propylamine"}
Out[2]=

2つのグラフが同形であるかどうかをテストする.
In[3]:=

ChemicalData[#, "StructureGraph"] & /@ {"NEthylmethylamine",
"Propylamine"};
IsomorphicGraphQ @@ %
Out[3]=
