Mathematica 9の新機能
向上したコアとなるアルゴリズム
Mathematica 9では既存の機能に多数の改良点が加わっており,新機能も加えられている.初等微積分において代数関数で実数値を扱うものや,分数階微積分におけるMittag-Leffler E関数等の新しい特殊関数もある.Mathematica の特殊関数と組合せすべてに行列関数が提供されている.システム全体での性能およびスコープの向上点も多数加わっている.

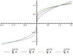
- 新しい実数値の立方根とSurd関数
- 待ち行列系容量計画のための新しいアーラン(Erlang)BおよびC行列
- 新しい分数階微積分関数のMittag-Leffler E関数
- 数値,厳密,記号の行列関数のサポート
- 疎な厳密代数および記号線形代数に対する新しいグラフベースのアルゴリズム
- 多項式操作に対する新しい高性能アルゴリズム
- 三角多項式系のための新しいコンパクトな代数的数による表現
- 64ビットアドレシングによってのみ制約される大規模なメモリ配列および式を操作する機能