Graph der Bindungen eines Moleküls
Sie können fertige Graphen und Netzwerke aus kuratierten Sammlungen nutzen, wie zum Beispiel ChemicalData.
Die Grundstruktur von Koffein.
In[1]:=
ChemicalData["Caffeine", "StructureGraph"]Out[1]=

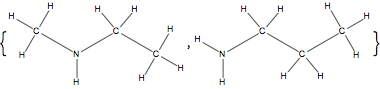
Stellen Sie zwei Strukturen von Säuremolekülen dar.
In[2]:=
ChemicalData[#, "StructureGraph"] & /@ {"NEthylmethylamine",
"Propylamine"}Out[2]=

Testen Sie die beiden Graphen auf Isomorphie.
In[3]:=
ChemicalData[#, "StructureGraph"] & /@ {"NEthylmethylamine",
"Propylamine"};
IsomorphicGraphQ @@ %Out[3]=