領域の距離を計算する
任意の次元の点からの距離を計算する.
| In[1]:= | X |
| Out[1]= | ![]() |
| In[2]:= | X |
| Out[2]= |
任意次元における距離式を計算する.
| In[3]:= | X |
| Out[3]= |
| In[4]:= | X |
| Out[4]= |
複数の点に再適用できる距離関数を生成する.
| In[5]:= | X |
| Out[5]= |
| In[7]:= | X |
| Out[7]= | ![]() |
他の基本領域について等距離を可視化する.
![]() |
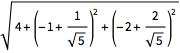
任意の次元の点からの距離を計算する.
| In[1]:= | X |
| Out[1]= | ![]() |
| In[2]:= | X |
| Out[2]= |
任意次元における距離式を計算する.
| In[3]:= | X |
| Out[3]= |
| In[4]:= | X |
| Out[4]= |
複数の点に再適用できる距離関数を生成する.
| In[5]:= | X |
| Out[5]= |
| In[7]:= | X |
| Out[7]= | ![]() |
他の基本領域について等距離を可視化する.
![]() |
Questions? Comments? Contact a Wolfram expert »