Das chemische Gleichgewicht für Reaktions-Netzwerke ermitteln
Chemische Reaktionssysteme, die ein Gleichgewicht erreichen, können normalerweise direkt als Polynomsysteme aus Gleichungen modelliert werden. Diese Probleme werden definiert durch Erhaltungs- und Reaktionsgleichungen. Das folgende Beispiel ist aus dem Bereich der Verbrennungschemie und modelliert das Verbrennen von Benzin in einer Brennkammer genau wie in einem Automotor. Das Ziel ist, herauszufinden, welche chemischen Elemente und Stoffe in der Brennkammer in verschiedenen Stadien vorhanden sind. Das System der untersuchten Reaktionen ist gegeben durch
,
,
,
,
,
,
.
Führen Sie eine Variable für jede chemische Komponente ein.
wird hier als eine Komponente behandelt, da C alleine nicht vorkommt.
![]() |
Führen Sie auch eine Variable für jeden Stoff ein.
![]() |
| In[1]:= | X |
In einem geschlossenen chemischen System bleiben die Stoffmengen erhalten. So können Erhaltungsgleichungen in chemischer und algebraischer Notation formuliert werden.
![]() |
![]() |
| In[2]:= | X |
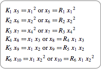
Geben Sie die Gleichgewichtsgleichungen an.
![]() |
![]() |
| In[3]:= | X |
Geben Sie Parameterwerte an.
| In[4]:= | ![]() X |
Lösen Sie das System über den reellen Zahlen und wählen Sie nur nicht-negative Lösungen aus.
| In[5]:= | X |
| In[6]:= | X |
| Out[6]= |
Berechnen Sie eine Lösung größerer Präzision.
| In[7]:= | X |
| In[8]:= | X |
| Out[8]= | ![]() |







