Ache o equilíbrio químico para redes de reações
Sistemas de reações químicas que têm equilíbrio normalmente podem ser diretamente modelados como um sistema polinomial de equações. Estes problemas são definidos por equações de conservação e de reação. O exemplo abaixo é da química de combustão e modela a queima de combustível em uma câmara de combustão, como no motor de um carro. O objetivo é encontrar quais os componentes químicos e os compostos que estão presentes na câmara de combustão em várias fases. O sistema de reações a ser estudado é dado por
,
,
,
,
,
,
.
Introduza uma variável para a quantidade de cada componente. Aqui o
é tratado como um componente, uma vez que
não ocorre sozinho.
![]() |
Também introduza uma variável para a quantidade de cada composto.
![]() |
| In[1]:= | X |
Caso se assuma que temos um sistema químico fechado, as quantidades são conservadas, o que nos leva às equações de conservação mostradas nas suas notações algébricas e químicas.
![]() |
![]() |
| In[2]:= | X |
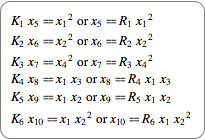
Forneça as equações para o equilíbrio.
![]() |
![]() |
| In[3]:= | X |
Forneça valores de parâmetros.
| In[4]:= | ![]() X |
Resolva o sistema sobre os reais e selecione somente as soluções não negativas.
| In[5]:= | X |
| In[6]:= | X |
| Out[6]= |
Compute uma solução de alta precisão.
| In[7]:= | X |
| In[8]:= | X |
| Out[8]= | ![]() |







