将形式性运算符应用于离散微积分 

对于如差分、求和和 Z 变换等离散积分运算,可以很容易应用形式运算.

验证 DifferenceDelta Sum 的倒数.

In[1]:=
Click for copyable input
X
Out[1]=
In[2]:=
Click for copyable input
X
Out[2]=

验证 DiscreteRatioProduct 的倒数.

In[3]:=
Click for copyable input
X
Out[3]=
In[4]:=
Click for copyable input
X
Out[4]=

DifferenceDelta 应用于不定总和.

In[5]:=
Click for copyable input
X
Out[5]=

速度比计算后版本有显著的提高.

In[6]:=
Click for copyable input
X
Out[6]=

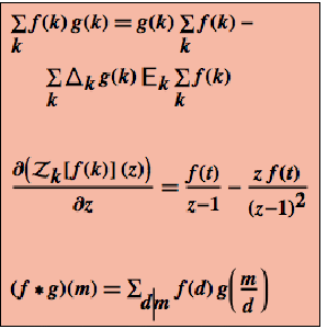
应用 ZTransform 的标准属性.

In[7]:=
Click for copyable input
X
Out[7]=
In[8]:=
Click for copyable input
X
Out[8]=
In[9]:=
Click for copyable input
X
Out[9]=
de en es ja pt-br