Prepare a Cheat Sheet for Calculus
Create a cheat sheet for calculus in three easy steps.
Create a list of functions to include.
| In[1]:= | X |
| Out[1]= |
Create inactive derivatives of these functions.
| In[2]:= | X |
| Out[2]= |
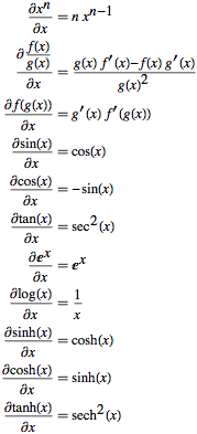
Activate the derivatives and set them equal to the inactive form.
| In[3]:= | X |
| Out[3]//TraditionalForm= | |
![]() | |
