特殊関数を含む和を計算する
GammaRegularizedおよびBetaRegularizedを含む無限和と有限和を計算する.
| In[1]:= | X |
| Out[1]= |
| In[2]:= | X |
| Out[2]= |
| In[3]:= | X |
| Out[3]= |
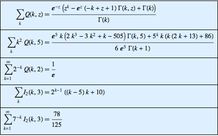
これらの関数を使った和について見やすい表を作成する.
| Out[4]//TraditionalForm= | |
![]() | |
GammaRegularizedおよびBetaRegularizedを含む無限和と有限和を計算する.
| In[1]:= | X |
| Out[1]= |
| In[2]:= | X |
| Out[2]= |
| In[3]:= | X |
| Out[3]= |
これらの関数を使った和について見やすい表を作成する.
| Out[4]//TraditionalForm= | |
![]() | |
Questions? Comments? Contact a Wolfram expert »