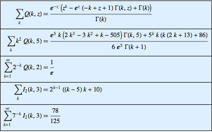
Compute Sums Involving Special Functions
Compute indefinite and definite sums involving GammaRegularized and BetaRegularized.
| In[1]:= | X |
| Out[1]= |
| In[2]:= | X |
| Out[2]= |
| In[3]:= | X |
| Out[3]= |
Create a gallery of elegant sums involving these functions.
| Out[4]//TraditionalForm= | |
![]() | |

