计算涉及特殊函数的和
计算涉及 GammaRegularized 和 BetaRegularized 的定与不定和.
| In[1]:= | X |
| Out[1]= |
| In[2]:= | X |
| Out[2]= |
| In[3]:= | X |
| Out[3]= |
创建涉及该类函数的求和列表.
| Out[4]//TraditionalForm= | |
![]() | |
计算涉及 GammaRegularized 和 BetaRegularized 的定与不定和.
| In[1]:= | X |
| Out[1]= |
| In[2]:= | X |
| Out[2]= |
| In[3]:= | X |
| Out[3]= |
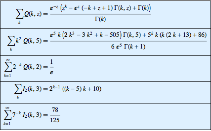
创建涉及该类函数的求和列表.
| Out[4]//TraditionalForm= | |
![]() | |
Questions? Comments? Contact a Wolfram expert »