Chemische Moleküle identifizieren
Ein SMILES-Strukturcode ist eine Möglichkeit, einen zweidimensionalen Graphen von Molekülstrukturen als eindimensionalen String wiederzugeben. Ermitteln Sie eine Möglichkeit, festzustellen, ob zwei SMILES-Strings dieselbe Struktur haben.
| In[1]:= | X |
Erzeugen Sie Graphen aus den SMILES-Strings.
| In[2]:= | X |
| In[3]:= | X |
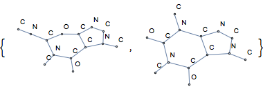
| In[4]:= | ![]() X |
| Out[4]= | ![]() |
Die SMILES-Codes haben unterschiedliche Strukturen.
| In[5]:= | X |
| Out[5]= |

