识别化学物分子
SMILES 字符串是将2维分子图表示为1维分子字符串的方法. 找出确认两个 SMILES 字符串是否为同样结构的方法.
| In[1]:= | X |
从 SMILES 创建图.
| In[2]:= | X |
| In[3]:= | X |
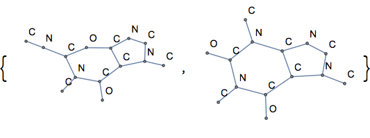
| In[4]:= | ![]() X |
| Out[4]= | ![]() |
SMILE 有不同结构.
| In[5]:= | X |
| Out[5]= |
SMILES 字符串是将2维分子图表示为1维分子字符串的方法. 找出确认两个 SMILES 字符串是否为同样结构的方法.
| In[1]:= | X |
从 SMILES 创建图.
| In[2]:= | X |
| In[3]:= | X |
| In[4]:= | ![]() X |
| Out[4]= | ![]() |
SMILE 有不同结构.
| In[5]:= | X |
| Out[5]= |
Questions? Comments? Contact a Wolfram expert »