Identifique moléculas químicas
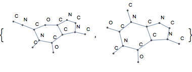
Una cadena de SMILES es una forma de representar un gráfico molecular en 2D como una cadena en 1D. Encuentre la forma de determinar si dos cadenas de SMILES tienen la misma estructura.
| In[1]:= | X |
Construya gráficos desde SMILES.
| In[2]:= | X |
| In[3]:= | X |
| In[4]:= | ![]() X |
| Out[4]= | ![]() |
SMILES tiene diferentes estructuras.
| In[5]:= | X |
| Out[5]= |

