化学分子の特定
SMILES記法は,2Dの分子グラフを1Dの文字列として表現する方法である.2つのSMILES記法が同じ構造を持つかどうかを調べる方法を見付ける.
In[1]:= | ![]() X |
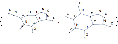
SMILESからグラフを構築する.
In[2]:= | ![]() X |
In[3]:= | ![]() X |
In[4]:= | ![]() X |
Out[4]= | ![]() |
2つのSMILESは異なる構造を持つ.
In[5]:= | ![]() X |
Out[5]= | ![]() |
SMILES記法は,2Dの分子グラフを1Dの文字列として表現する方法である.2つのSMILES記法が同じ構造を持つかどうかを調べる方法を見付ける.
In[1]:= | ![]() X |
SMILESからグラフを構築する.
In[2]:= | ![]() X |
In[3]:= | ![]() X |
In[4]:= | ![]() X |
Out[4]= | ![]() |
2つのSMILESは異なる構造を持つ.
In[5]:= | ![]() X |
Out[5]= | ![]() |
Questions? Comments? Contact a Wolfram expert »