Identify Chemical Molecules
A SMILES string is a way to represent a 2D molecular graph as a 1D string. Find a way to determine if two SMILES strings have the same structure.
| In[1]:= | X |
Build the graphs from SMILES.
| In[2]:= | X |
| In[3]:= | X |
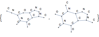
| In[4]:= | ![]() X |
| Out[4]= | ![]() |
The SMILES have different structures.
| In[5]:= | X |
| Out[5]= |

