Identifique moléculas
Uma string SMILES é uma forma de representar um grafo 2D molecular como uma string 1D. Encontre uma maneira de determinar se duas strings SMILES têm a mesma estrutura.
| In[1]:= | X |
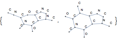
Construa os grafos a partir do SMILES.
| In[2]:= | X |
| In[3]:= | X |
| In[4]:= | ![]() X |
| Out[4]= | ![]() |
Os SMILES têm diferentes estruturas.
| In[5]:= | X |
| Out[5]= |

