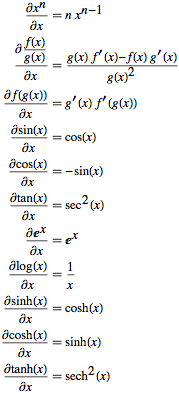
Prepare uma "cola" para cálculo
Crie uma "cola" para cálculo facilmente em três passos.
Crie uma lista de funções a serem incluídas.
| In[1]:= | X |
| Out[1]= |
Crie derivadas inativas dessas funções.
| In[2]:= | X |
| Out[2]= |
Ative as derivadas e as iguale às formas inativas.
| In[3]:= | X |
| Out[3]//TraditionalForm= | |
![]() | |
