准备一张微积分的备忘单
以3个简单步骤创建一张微积分的备忘单.
创建需要包含的函数列表.
| In[1]:= | X |
| Out[1]= |
创建这些函数的未激活导数.
| In[2]:= | X |
| Out[2]= |
激活这些导数,并设定其等同于未激活形式.
| In[3]:= | X |
| Out[3]//TraditionalForm= | |
![]() | |
以3个简单步骤创建一张微积分的备忘单.
创建需要包含的函数列表.
| In[1]:= | X |
| Out[1]= |
创建这些函数的未激活导数.
| In[2]:= | X |
| Out[2]= |
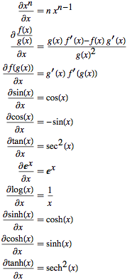
激活这些导数,并设定其等同于未激活形式.
| In[3]:= | X |
| Out[3]//TraditionalForm= | |
![]() | |
Questions? Comments? Contact a Wolfram expert »