Analice el ciclo de Stirling con materiales del mundo real
Examine el ciclo de Stirling para 10 moles de aire.
| Out[1]= |  |
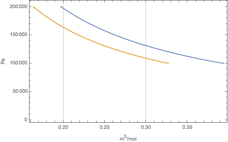
Calcule la expansión isotérmica y las curvas de compresión a 200 °C y 100 °C, respectivamente.
Cree un diagrama
.
| Out[4]= |  |
Calcule el trabajo mecánico por medio de
.
| Out[5]= |  |
Encuentre las presiones máxima y mínima para la expansión y compresión.
| Out[6]= |  |
| Out[7]= |  |
Calcule el cambio en la energía interna.
| Out[8]= |  |
| Out[8]= |  |
Usando el trabajo y el cambio en energía interna, calcule la eficiencia.
| Out[9]= |  |
Compare con la máxima eficiencia posible de Carnot.
| Out[10]= |  |