Den Stirling-Kreisprozess mit physikalischen Stoffen analysieren
Untersuchen Sie den Stirling-Kreisprozess für 10 Mol Luft.
| Out[1]= |  |
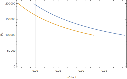
Berechnen Sie jeweils die isotherme Expansions- und Kompressionskurve bei 200 °C und 100 °C.
Erstellen Sie das
-Diagramm.
| Out[4]= |  |
Berechnen Sie die mechanische Arbeit durch
.
| Out[5]= |  |
Ermitteln Sie jeweils den Höchst- und Mindestdruck für Expansion und Kompression.
| Out[6]= |  |
| Out[7]= |  |
Berechnen Sie die Änderung der thermischen Energie.
| Out[8]= |  |
| Out[8]= |  |
Berechnen Sie nun die Effizienz anhand der Arbeit und der Änderung der inneren Energie.
| Out[9]= |  |
Vergleichen Sie diese mit dem Carnot-Wirkungsgrad, dem höchsten theoretisch möglichen Wirkungsgrad.
| Out[10]= |  |