実世界の物質でスターリングサイクルを分析する
空気10モルのスターリングサイクルを調べる.
| In[1]:= | X |
| Out[1]= |
等温膨張と圧縮曲線をそれぞれ200 °Cと100 °Cについて計算する.
| In[2]:= | ![]() X |
| In[3]:= | ![]() X |
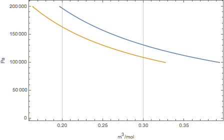
ダイアグラムを作成する.
| In[4]:= | ![]() X |
| Out[4]= | ![]() |
までの機械仕事量を計算する.
| In[5]:= | ![]() X |
| Out[5]= |
膨張と圧縮に対する最大および最小の圧力を求める.
| In[6]:= | ![]() X |
| Out[6]= |
| In[7]:= | ![]() X |
| Out[7]= |
内部エネルギーの変化を計算する.
| In[8]:= | ![]() X |
| Out[8]= |
| Out[8]= |
仕事量と内部エネルギーの変化を使って,効率を計算する.
| In[9]:= | X |
| Out[9]= |
可能な最大のカルノー効率と比較する.
| In[10]:= | X |
| Out[10]= |







