用现实材料分析史特灵循环
对10摩尔空气进行史特灵循环检验.
| In[1]:= | X |
| Out[1]= |
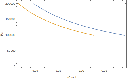
在 200°C 和 100°C,分别计算等温膨胀和压缩曲线.
| In[2]:= | ![]() X |
| In[3]:= | ![]() X |
创建
图形.
| In[4]:= | ![]() X |
| Out[4]= | ![]() |
用
计算机械功.
| In[5]:= | ![]() X |
| Out[5]= |
找出膨胀和压缩的最高和最低压力.
| In[6]:= | ![]() X |
| Out[6]= |
| In[7]:= | ![]() X |
| Out[7]= |
计算内部能量的变化.
| In[8]:= | ![]() X |
| Out[8]= |
| Out[8]= |
使用功和内部能量变化计算效率.
| In[9]:= | X |
| Out[9]= |
与最大可能的卡诺效率对比.
| In[10]:= | X |
| Out[10]= |







