Analise o ciclo Stirling com materiais do mundo real
Examine o ciclo Stirling para 10 mols de ar.
| Out[1]= |  |
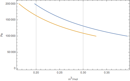
Calcule a expansão isotérmica e as curvas de compressão a 200 °C e a 100 °C, respectivamente.
Crie o diagrama
.
| Out[4]= |  |
Calcule o trabalho mecânico através de
.
| Out[5]= |  |
Encontre as pressões máximas e mínimas para a expansão e compressão.
| Out[6]= |  |
| Out[7]= |  |
Calcule a variação da energia interna.
| Out[8]= |  |
| Out[8]= |  |
Usando o trabalho e a mudança na energia interna, calcule a eficiência.
| Out[9]= |  |
Compare com a máxima eficiência Carnot possível.
| Out[10]= |  |