Numerisches Lösen von Polynomsystemen bei hoher Rechenleistung
Mathematica 10 bietet einen neuen Homotopie-basierten numerischen Solver für Polynome. Diese Methode wird automatisch angewendet, wenn sie geeignet scheint. Die folgenden Diagramme vergleichen den Zeitbedarf dieses neuen Algorithmus mit der Gröbnerbasis-Methode von Mathematica 9 und den schnelleren der Maple 18-Befehlen solve oder Homotopy. Alle Tests wurden auf einem 16-CORE, 2.40 GHz 64-bit Linux-System mit aktiviertem Hyper-Threading bei einem Zeitlimit von 12 Stunden durchgeführt.
Vergleich eines standardmäßigen Polynomsystem aus dem Bereich Wirtschaft in
Variablen, Totalgrad
und
verschiedenen Lösungen, angegeben durch die folgende Formel:
| In[1]:= | X |
Für
zum Beispiel nimmt das System die folgende Form an:
| In[2]:= | X |
| Out[2]//TraditionalForm= | |
![]() | |
![]() |
Vergleich für das standardmäßige neurale Noonburg-Netzwerksystem, angegeben durch die folgende Formel. Für
Variablen hat dieses System den Totalgrad
und
unterschiedliche Lösungen.
| In[3]:= | X |
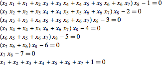
Bei fünf Variablen zum Beispiel nimmt das System die folgende Form an:
| In[4]:= | X |
| Out[4]//TraditionalForm= | |
![]() | |
![]() |
Vergleich für das standardmäßige Katsura-
-System der ferromagnetischen Gitter-Wahrscheinlichkeiten, das bei
Variablen den Totalgrad
und
verschiedene Lösungen hat. Das System N-ter Ordnung nimmt die folgende Form an:
| In[5]:= | ![]() X |
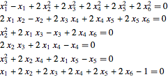
Bei
zum Beispiel besteht das System aus sechs Gleichungen mit sechs Unbekannten.
| In[6]:= | X |
| Out[6]//TraditionalForm= | |
![]() | |
![]() |






