Solução numérica de sistemas polinomiais de alto desempenho
O Mathematica 10 inclui uma nova ferramenta de solução de polinômios numéricos baseada em homotopia. Esse método é automaticamente selecionado quando apropriado. Os gráficos a seguir comparam o tempo de espera desse novo algoritmo com o método de Base Gröbner do Mathematica 9 e com o mais rápido dos 18 comandos solve ou Homotopy do Maple 18. Todos os testes foram conduzidos em um sistema Linux de 64 bits, 2.40 GHz e 16 núcleos, com a tecnologia Hyper-Threading habilitada e um limite de tempo de 12 horas.
Comparação de um sistema de economia padrão em
variáveis, grau total
, e soluções distintas
, dado pela seguinte fórmula:
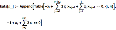
| In[1]:= | X |
Por exemplo, para
, o sistema toma a seguinte forma.
| In[2]:= | X |
| Out[2]//TraditionalForm= | |
![]() | |
![]() |
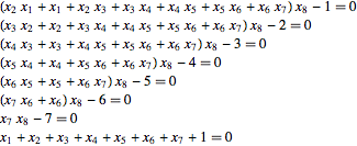
Comparação para o sistema de rede neural Noonburg padrão, dado pela seguinte fórmula. Para variáveis
, o sistema tem um grau total
e
diferentes soluções.
| In[3]:= | X |
Por exemplo, em cinco variáveis o sistema toma a seguinte forma.
| In[4]:= | X |
| Out[4]//TraditionalForm= | |
![]() | |
![]() |
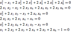
Comparação para o sistema Katsura-
de probabilidades de retículos ferromagnéticos, o qual em
variáveis tem grau total
e
soluções diferentes. O sistema de ordem-
toma a seguinte forma.
| In[5]:= | ![]() X |
Por exemplo, para
o sistema tem seis equações em seis incógnitas.
| In[6]:= | X |
| Out[6]//TraditionalForm= | |
![]() | |
![]() |






