Soluciones numéricas de sistemas de polinomios de alto rendimiento
Mathematica 10 incluye una nueva solución numérica polinómica basada en homotopía. Este método se selecciona automáticamente cuando es apropiado. Los siguientes cuadros comparan los tiempos de este nuevo algoritmo con el método basado en Gröbner de Mathematica 9 y el solucionador más rápido de Maple 18 o comandos de Homotopía. Todas las pruebas fueron realizadas en un sistema Linux de 16 núcleos, 2.40 GHz de 64 bits con Hyper-Threading habilitado y un tiempo límite de 12 horas.
Comparación de un sistema estándar de economía en variables
, grado total
y distintas soluciones
, dado por la siguiente fórmula.
| In[1]:= | X |
Por ejemplo, para
el sistema toma la siguiente forma.
| In[2]:= | X |
| Out[2]//TraditionalForm= | |
![]() | |
![]() |
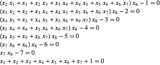
Comparación para el sistema estándar de red neuronal de Noonburg, dado por la siguiente fórmula. Para variables
, este sistema tiene un grado total
y diferentes soluciones
.
| In[3]:= | X |
Por ejemplo, en cinco variables el sistema toma la siguiente forma.
| In[4]:= | X |
| Out[4]//TraditionalForm= | |
![]() | |
![]() |
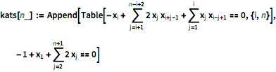
Comparación para un sistema estándar Katsura-
de probabilidades de celosía ferromagnéticos, los cuales en variables
tiene un grado total
y diferentes soluciones
. El sistema de orden
toma la siguiente forma.
| In[5]:= | ![]() X |
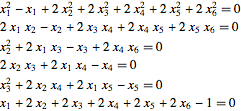
Por ejemplo, para
el sistema tiene seis ecuaciones en seis incógnitas.
| In[6]:= | X |
| Out[6]//TraditionalForm= | |
![]() | |
![]() |






