多项式方程组的高性能数值解
Mathematica 10 包含了新的以同伦算法为基础的数值多项式求解器. 该方法在适当时会被自动选择. 以下图表比较该新算法和 Mathematica 9 基于Gröbner 的算法以及更快的 Maple 18 的 solve 或 Homotopy 指令. 所有测试在允许超线程和时间限制为12小时的16核2.40 GHz 64位 Linux 系统上执行.
用以下公式比较标准的经济体系,对
个变量,全次数为
且有
个不同的解.
| In[1]:= | X |
例如,当
时系统取得下列形式.
| In[2]:= | X |
| Out[2]//TraditionalForm= | |
![]() | |
![]() |
以下公式给出标准 Noonburg 神经网络系统的比较. 对
个变量,该系统有全次数为
和
的不同解.
| In[3]:= | X |
对于5个变量,系统取下列形式.
| In[4]:= | X |
| Out[4]//TraditionalForm= | |
![]() | |
![]() |
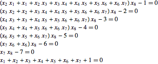
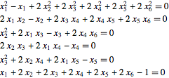
铁磁晶格概率的标准 Katsura-
系统的比较,在
个变量有全次数
和
个不同的解.
阶系统采用下列形式.
| In[5]:= | ![]() X |
例如,对于
系统有6个未知数的6个方程式.
| In[6]:= | X |
| Out[6]//TraditionalForm= | |
![]() | |
![]() |






