High-Performance Numeric Solution of Polynomial Systems
Mathematica 10 includes a new homotopy-based numerical polynomial solver. This method is automatically selected when appropriate. The following charts compare the timing of this new algorithm with Mathematica 9's Gröbner-basis method and the faster of Maple 18's solve or Homotopy commands. All tests were performed on a 16-core, 2.40 GHz 64-bit Linux system with Hyper-Threading enabled and a time limit of 12 hours.
Comparison for a standard economics system in
variables, total degree
, and
distinct solutions, given by the following formula.
| In[1]:= | X |
For example, for
the system takes the following form.
| In[2]:= | X |
| Out[2]//TraditionalForm= | |
![]() | |
![]() |
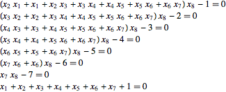
Comparison for the standard Noonburg neural-network system, given by the following formula. For
variables, this system has total degree
and
different solutions.
| In[3]:= | X |
For example, in five variables the system takes the following form.
| In[4]:= | X |
| Out[4]//TraditionalForm= | |
![]() | |
![]() |
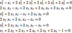
Comparison for the standard Katsura-
system of ferromagnetic lattice probabilities, which in
variables has total degree
and
different solutions. The order-
system takes the following form.
| In[5]:= | ![]() X |
For example, for
the system has six equations in six unknowns.
| In[6]:= | X |
| Out[6]//TraditionalForm= | |
![]() | |
![]() |






