Einfache Differenzen und Verhältnisse für spezielle Funktionen ermitteln
Ermitteln Sie einfache Differenzen und Verhältnisse für Beta und GammaRegularized.
| In[1]:= | X |
| Out[1]= |
| In[2]:= | X |
| Out[2]= |
| In[3]:= | X |
| Out[3]= |
| In[4]:= | X |
| Out[4]= |
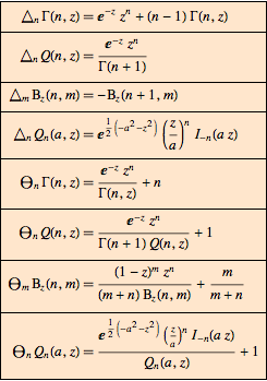
Erstellen Sie eine Galerie aus eleganten Rechenoperationen mit Differenzen und Verhältnissen.
| Out[5]//TraditionalForm= | |
![]() | |

