获得特殊函数的简单差分和比率
获得 Beta 和 GammaRegularized 的简单差分和比率.
| In[1]:= | X |
| Out[1]= |
| In[2]:= | X |
| Out[2]= |
| In[3]:= | X |
| Out[3]= |
| In[4]:= | X |
| Out[4]= |
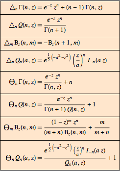
创建清晰的差分和比率列表.
| Out[5]//TraditionalForm= | |
![]() | |
获得 Beta 和 GammaRegularized 的简单差分和比率.
| In[1]:= | X |
| Out[1]= |
| In[2]:= | X |
| Out[2]= |
| In[3]:= | X |
| Out[3]= |
| In[4]:= | X |
| Out[4]= |
创建清晰的差分和比率列表.
| Out[5]//TraditionalForm= | |
![]() | |
Questions? Comments? Contact a Wolfram expert »