Obtenga diferencias y proporciones simples para funciones especiales
Obtenga diferencias y proporciones simples para Beta y GammaRegularized.
| In[1]:= | X |
| Out[1]= |
| In[2]:= | X |
| Out[2]= |
| In[3]:= | X |
| Out[3]= |
| In[4]:= | X |
| Out[4]= |
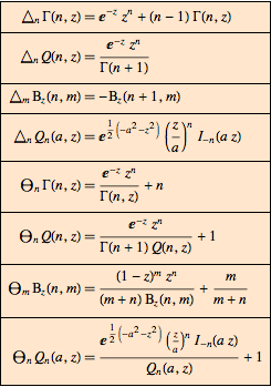
Cree una galería de diferencias y proporciones elegantes.
| Out[5]//TraditionalForm= | |
![]() | |

